Description
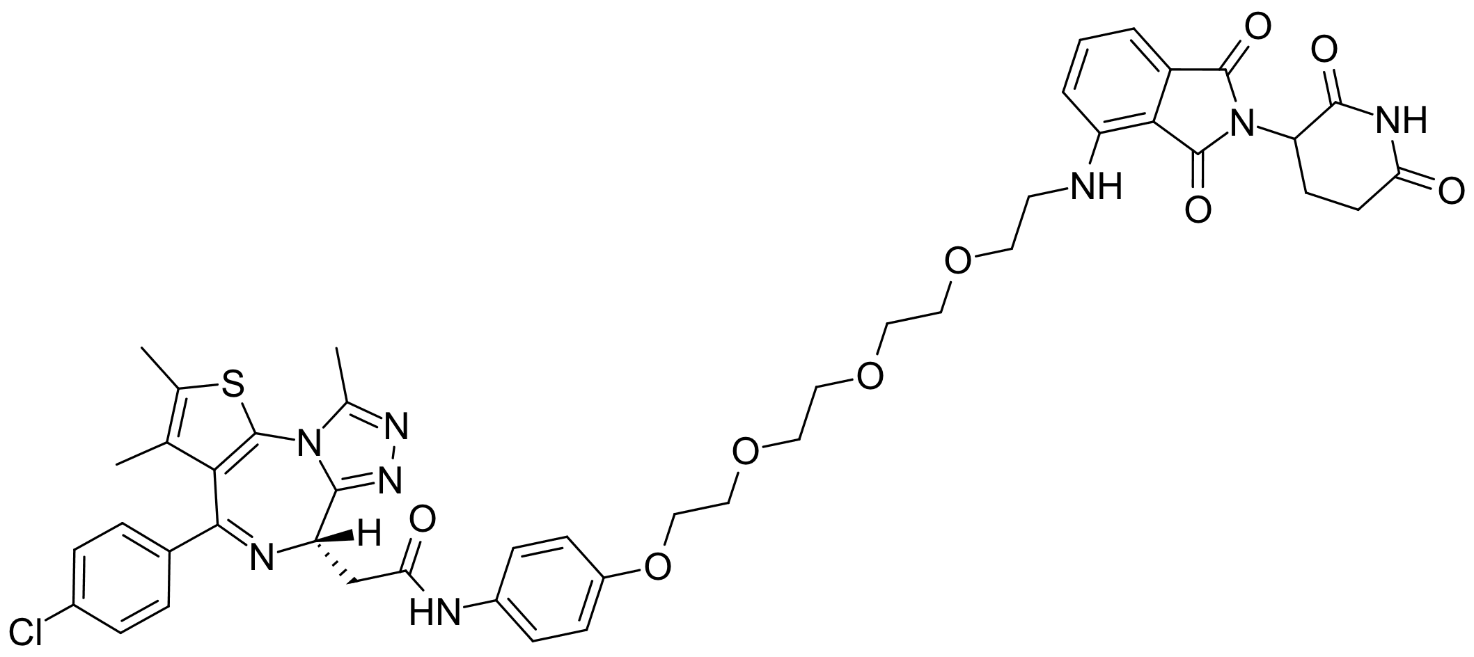
ARV-825 is a small-molecule degrader of BET proteins that has been shown to inhibit acute myeloid leukemia cell proliferation and induce apoptosis. It has also been demonstrated that ARV-825 may inhibit cell proliferation, induce apoptosis, and induce cell cycle arrest in vitro against a multiple myeloma cell line, and inhibit cell growth in vivo in a mouse xenograft.
